铝合金机翼型叶轮
机翼型叶轮具有效率高、噪音低的特点;铝合金一体压铸成型,叶片重量均匀,动平衡效果好。
高效节能
AF系列轴流风机经过不断优化设计,按照GB/T19761-2009《通风机能效限定值及能效等级》评定标准,达到二级能效等级。
可调节性
风机电机底座采用组合式框架结构,可适当调整高度,以避免风机扩容导致的电机无法安装的问题。
防锈防腐
简身为镀锌钢材质或碳钢材质(静电喷涂环氧树脂处理),能有效防止一般酸雾腐蚀。

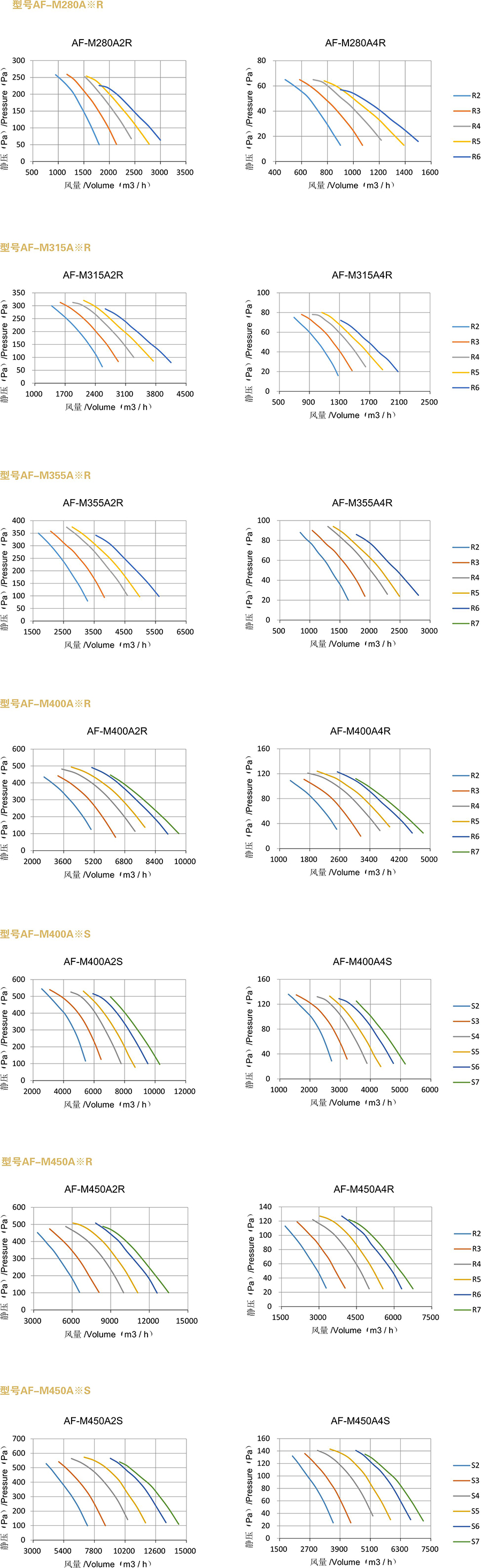
欲了解更多详细参数曲线,请下载AF系列轴流风机样本查阅,或联系我们获取电子版样本
